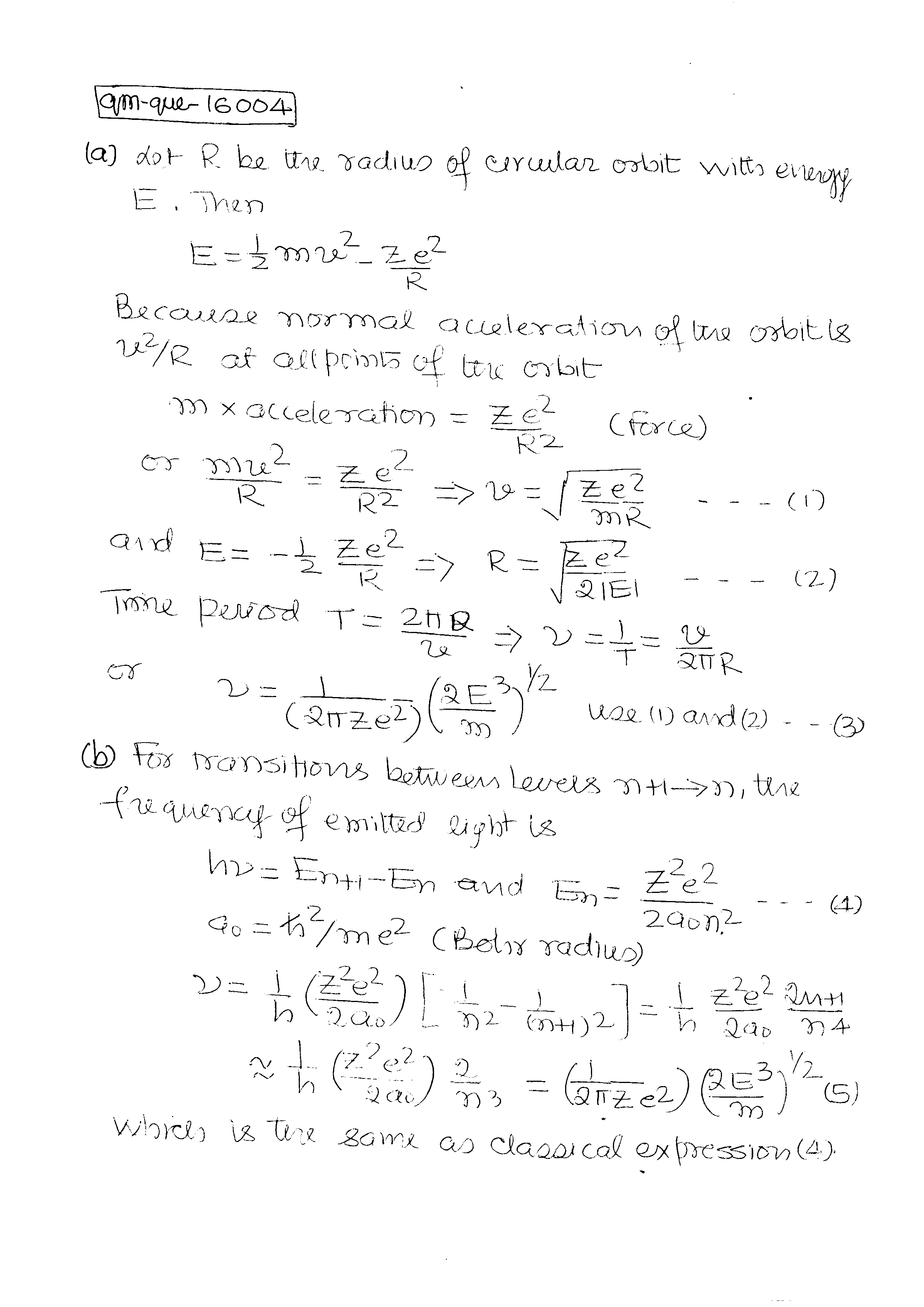
- For a classical electron moving in an orbit around a nucleus with charge $Ze$ obtain a relation between the number of revolutions per second and the energy of the electron. (Use only classical mechanics).
- Using known quantum mechanical solution, show that in the limit of large principal quantum number \(n\), the frequency of the line emitted in a transition from $(n+1)^{\mbox{th}}$ level to the $n^{\mbox{th}}$ level is precisely the same as the frequuency obtained in part \((a)\).
Exclude node summary :
n
Exclude node links:
0
4727:Diamond Point
0





||Message]